Analisi
delle reti d'aria
Si faccia riferimento alla
semplice rete della figura sottostante

Suddivisione in segmenti
di una rete di canali
La rete comprende un tratto in "ripresa"
ed un tratto in "mandata". Essa è stata suddivisa
in n° 10 segmenti, intendendo con "segmento":
per
le reti di mandata, il tratto di rete compreso tra
la sezione di monte di una diramazione e la sezione
di monte della diramazione (o terminale) successiva;
per
le reti di ripresa, il tratto di rete compreso tra
la sezione di monte di una confluenza e la sezione
di monte della confluenza (o terminale) successiva.
Sia per le reti di mandata, sia
per quelle di ripresa, il concetto di "monte-valle"
deve essere pensato con riferimento ad un verso ideale
che va dal ventilatore verso i terminali. Ovviamente,
nel caso delle
reti di mandata, tale verso ideale coinciderà con il senso di moto
dell’aria; per le reti di ripresa, il verso ideale è opposto
al senso di moto dell’aria.
Inoltre si possono introdurre le
seguenti definizioni:
un
ramo è un segmento avente un terminale ad un estremo,
un
tronco è un segmento non avente terminali ai propri
estremi.
La variazione di pressione totale,
dovuta all’attrito, ai pezzi speciali, ad eventuali apparecchiature,
per ogni segmento di una rete di canali, può essere calcolata
con la seguente relazione:
(2.1) 
per i = 1, 2, ...,
nmn + nvl
dove
D
pti
= variazione
di pressione totale per il segmento i, Pa
Dpfi
= perdita di pressione dovuta all’attrito per il segmento
i, Pa
Dpij =
perdita di pressione totale dovuta al pezzo speciale j-esimo,
includente il Fan
System Effect (FSE), per il segmento i, Pa
D
pik
= perdita di pressione dovuta alla k-esima apparecchiatura,
per il segmento i, Pa
m = numero di pezzi
speciali contenuti nel segmento i
n = numero di apparecchiature
contenute nel segmento i
nmn =
numero di segmenti di rete presenti a monte del ventilatore
(con riferimento al senso di moto dell’aria)
nvl =
numero di segmenti di rete presenti a valle del ventilatore
(con riferimento al senso di moto dell’aria)
Il
FSE, come si vedrà nei prossimi capitoli, è una perdita
di pressione aggiuntiva che deve essere introdotta per
tenere conto dei fenomeni fluidodinamici associati all’accoppiamento
ventilatore-rete. Con il termine "apparecchiature",
si
intendono in generale tutti quei componenti tipici delle
reti di canali, diversi dai pezzi speciali veri e propri,
che possono essere causa di perdita di pressione nella
rete: per esempio, batterie di post-
riscaldamento
di zona, regolatori di
portata, serrande di regolazione ecc.
Per
le reti di mandata, è molto utile definire la variazione
di pressione statica di un segmento in una rete di canali.
Questo tipo di grandezza risulta infatti molto comodo
quando si deve dimensionare una
rete
di mandata con il metodo del
"recupero di pressione statica", come si vedrà
nei prossimi capitoli. Tale variazione è definita tramite
la seguente relazione:
(2.2) 
dove
D
psi
= variazione di pressione statica, per il segmento i,
Pa
D
pri
= recupero di pressione statica, per il segmento i, Pa
La
(2.2) deriva direttamente dalla (1.5), nella quale le
sezioni 1 e 2 sono da intendersi rispettivamente come
le sezioni di monte della prima e della seconda derivazione
del segmento i. In particolare, D
psi
e D pri sono definiti come:
(2.3) 
(2.4) 
Dalla (2.4) e dalla
(2.2) si può osservare che, se V2 < V1,
la variazione di pressione statica D psi può
essere minore della variazione della pressione totale
D pti dovuta alle perdite di pressione. È per
questo
che D
pri
è chiamato recupero
di pressione statica. Si noti però che, se V2
> V1, il recupero di pressione statica è
negativo, cioè D pri < 0: ne segue che in
questo caso la variazione di pressione
statica è maggiore della
variazione di pressione totale e di questo fenomeno è
necessario tenere conto, nel calcolo della pressione statica
richiesta al ventilatore.
Tornando ora alla
(2.1), possiamo definire la pressione totale (o prevalenza
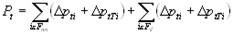
totale) richiesta al ventilatore, con la seguente equazione:
(2.5) 
dove
Fmn
= serie di segmenti a monte del ventilatore
Fvl
= serie di segmenti a valle del ventilatore
Pt
= pressione o prevalenza totale richiesta al ventilatore,
Pa
DptTi =
perdita di pressione totale del terminale di ripresa/estrazione
o mandata Ti , posto all’estremo del ramo i-esimo,
Pa
ε = simbolo
che lega i segmenti di rete in percorsi compresi tra i
terminali di ripresa/estrazione ed i terminali di mandata
dell’aria
Per
meglio comprendere la (2.5), consideriamo la rete di fig.
8.1. Essa è costituita da n° 3 terminali di mandata e
da n° 3 terminali di ripresa dell’aria. Si possono individuare
n° 10 segmenti. I vari
terminali
possono essere tra loro connessi con n° 9 percorsi: 1-3-4-9-7-5,
1-3-4-9-7-6, 1-3-4-9-8, 10-3-4-9-7-5, 10-3-4-9-7-6, 10-3-4-9-8,
2-4-9-7-5, 2-4-9-7-6, 2-4-9-8. Agli estremi dei rami 1,10,
2, 8, 6,
5, sono
posti rispettivamente i terminali T1, T10,
T2, T8, T6, T5.
Per
determinare la pressione totale richiesta al ventilatore,
si possono utilizzare le seguenti n° 9 equazioni, derivate
tutte dalla (2.5):
(2.6) 
Le
equazioni (2.6) devono essere soddisfatte, per ottenere
una rete bilanciata, con le portate d’aria di progetto.
A tal proposito si ricorda che i metodi di bilanciamento
basati esclusivamente sulle
serrande
di regolazione non costituiscono
soluzioni economicamente ottimizzate e possono portare
a problemi di rumorosità.