DIMENSIONAMENTO DEGLI IMPIANTI
IMPIANTI AERAULICI - CENNI DI FLUIDODINAMICA
Equazioni per il calcolo delle perdite per attrito
Le perdite di carico per attrito,
possono essere calcolate mediante l’equazione di Darcy:
(3.1) 
dove
Δpf = perdita di carico per attrito, in termini
di pressione totale, [Pa]
f = coefficiente di attrito, adimensionale
L = lunghezza del canale, [m]
Dh = diametro idraulico, [m]
V = velocità, [m/s]
ρ = densità, [kg/m3]
Il coefficiente di attrito è dato dal diagramma di Moody, per
il quale rimandiamo a testi specializzati in idraulica. Ai
nostri fini, è sufficiente sapere che:
nella
zona del diagramma relativa al moto laminare, (numero
di Reynolds minore di 2000) il coefficiente di attrito
è una funzione del solo numero di Reynolds;
nella
zona relativa al moto completamente turbolento, denominata
"regime turbolento di condotto scabro", il coefficiente
di attrito dipende esclusivamente dalla rugosità della
superficie interna del canale e dalla presenza di protuberanze
interne, come i giunti;
nella
zona compresa tra il "regime turbolento di condotto
liscio" e il "regime turbolento di condotto
scabro", esiste la zona del "regime turbolento
di transizione", nella quale il coefficiente di attrito
può essere calcolato con la formula di Colebrook.
La formula di Colebrook è in forma
implicita, rispetto al coefficiente di attrito f,
che pertanto deve essere ricavato con tecniche iterative.
L’equazione di Colebrook è la seguente:
(3.2) 
dove
ε = rugosità assoluta del condotto, [m]
Re = numero di Reynolds
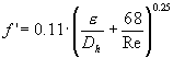
Una formula semplificata, per il calcolo del coefficiente di
attrito, è la seguente:
(3.3)

se f' ≥ 0.018 allora
f = f'
se f' < 0.018 allora f = 0.85·f’ +
0.0028
I coefficienti di attrito calcolati con la (3.3) sono contenuti
entro il 1.6% di quelli ottenuti dalla (3.2).
Il numero di Reynolds può essere calcolato mediante la seguente
equazione:
(3.4) 
dove
ν = viscosità cinematica, [m2/s]
Per aria standard, il numero di Reynolds può essere calcolato
con la seguente formula:
