DISEGNO DEGLI IMPIANTI
IMPIANTI IDRONICI - ARCHIVIO RADIATORI
Icona: 
Comando: DBPIPES

Nell'archivio dei radiatori occorre
specificare sia le proprietà grafiche che le rese termiche di
ogni elemento di un particolare modello.
Ad ogni Produttore/Linea
indicata nella lista di sinistra, possono essere associati più
modelli (taglie) del radiatore.
Ad ogni modello sono
associati i dati geometrici (dimensioni), la resa termica e le
condizioni di lavoro nominali ed infine, le valvole di taratura
(se inserite possono essere utilizzate per il calcolo di bilanciamento
sui
terminali).
Per quanto riguarda
la resa termica, il valore qui inserito è relativo al DT nominale
specificato nel campo Delta T[°C] e si riferisce al DT
tra aria ambiente (temperatura di progetto) e temperatura media
dell'acqua nel
radiatore. Questo
valore è messo in relazione con il DT di progetto che è specificato
nella finestra dei progetti di tubi in modo da determinare il
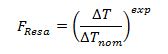
fattore di resa secondo la formula:

dove exp
rappresenta il valore riportato nel campo Esponente.
Il coefficiente Fresa viene moltiplicato per la Resa
Nominale dell'elemento per calcolare la Resa
Effettiva sulla quale si basa il calcolo del numero degli
elementi del radiatore.
|