CALCOLO DEI CARICHI TERMICI ESTIVI
Heat Gain Infiltrazioni aria
Il carico termico sensibile dovuto
alle infiltrazioni d’aria, è calcolato in accordo a quanto
riportato a Pag. 26.26 sempre dell’Ashrae Handbook Fundamentals
1985:

nella quale Vi è la portata
d’aria calcolabile come il prodotto dei ricambi d’aria orari
n e il volume ambiente V, ρ è la
densità (kg/m3), cp il calore specifico (kJ/kg), te,τ è la temperatura esterna
all'ora t, ti è la
temperatura interna di progetto
.
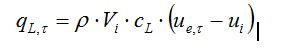
Per quanto riguarda la parte di latente invece, la formula
utilizzata è

dove cL è il calore latente
di vaporizzazione, ue e ui sono l’umidità
specifica rispettivamente esterna ed interna.
COLLEGAMENTI: